본문 바로 가기
로그인/회원가입 하기
통합검색
수강중 강좌
장바구니
이용문의
학습Q&A
강좌찾기
UNI ALL PASS
UNI QUICK PASS
단과 강좌
패키지
교수소개
공학계열
자연계열
수학계열
간호계열
상경계열
기초·공통
커뮤니티
수강후기
학습 Q&A
대학생활 꿀팁
장학제도 프로그램
이벤트
이벤트존
쿠폰 · 즉시 혜택
학습지원센터
공지사항
이용문의
환불요청
FAQ
마이페이지
수강중인 강좌
수강대기 강좌
수강종료 강좌
구독 중인 AI
구독 종료된 AI
결제정보
내 지갑
개인정보
자연계열 김대희 교수님
답변완료
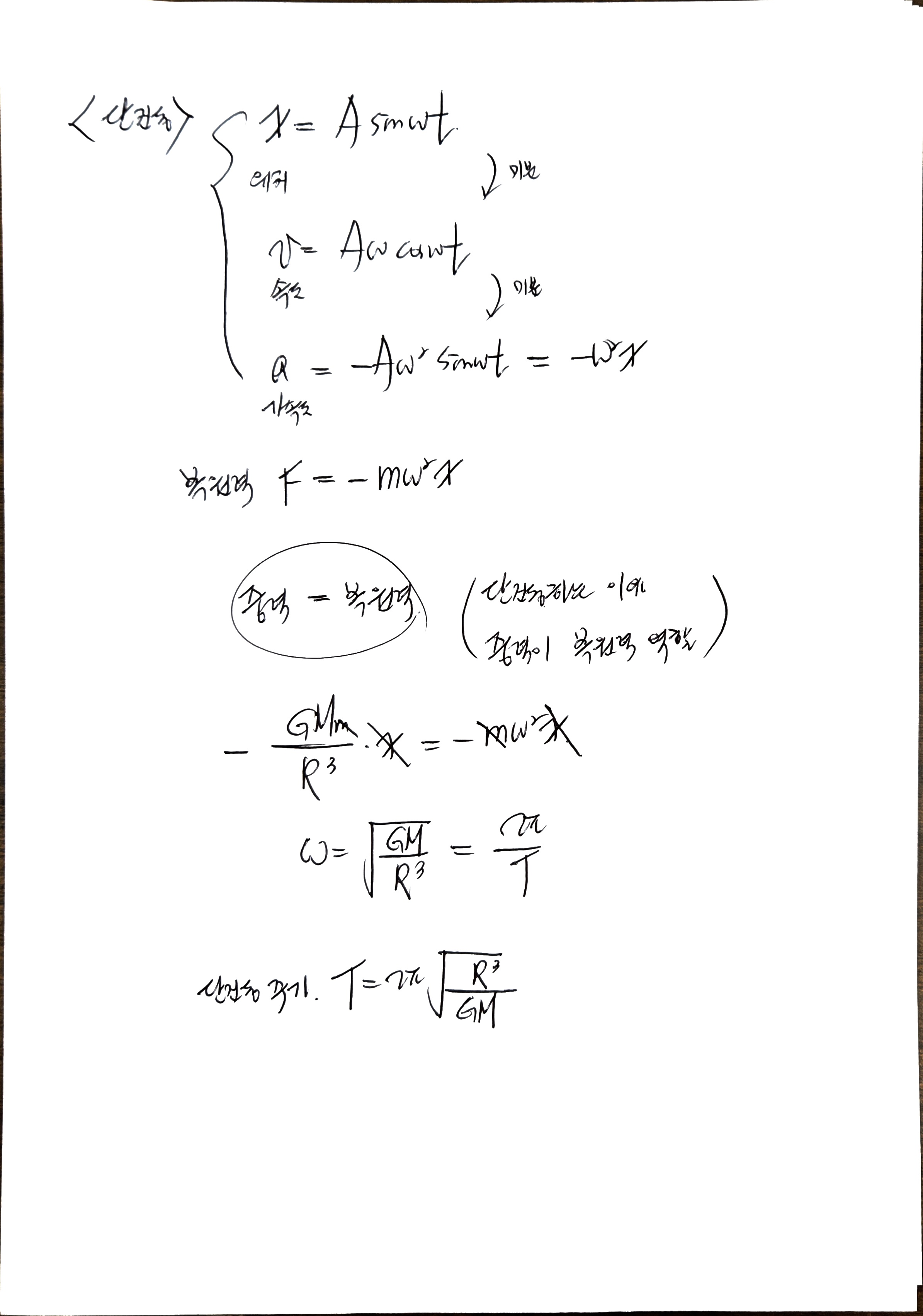
19강 41:09에서
작성자 류*영 (k******4)
작성일 2024-08-13
과목 일반물리학
질문유형
강좌내용
※ 답변 완료된 질문과 답변은 수정 및 삭제가 불가합니다.
댓글
총
0
건
김*희
교수님
2025-12-16
답변완료
목록