안녕하세요.
유니스터디 임계수입니다.
질문에 대한 답변입니다.



수학계열 임계수 교수님
안녕하세요 교수님.
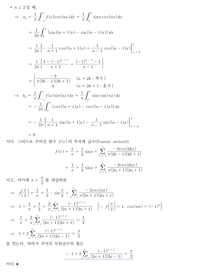
공학수학2 p.12 예제 1.9. 풀이가 궁금하여,
질문번호 1185에 과거에 답변하신 자세한 풀이를 확인하였는데,
a0을 구하고,
an, bn을 바로 구한 게 아닌
a1, b1을 따로 구한 이유가
an, bn식에 분모에 n-1이 들어가서 맞나요?
그렇다면 사고 순서는 a0, an, bn을 구하고
an, bn 분모에 n-1이 있어서 n=1인 경우에 분모가0이 되니,
n=1인 경우에 계수를 따로 구하겠다는 순으로 사고하는게 맞는건지 확인받고 싶습니다.
감사합니다.
※ 답변 완료된 질문과 답변은 수정 및 삭제가 불가합니다.

