안녕하세요.
유니스터디 임계수입니다.
질문에 대한 답변입니다.



수학계열 임계수 교수님
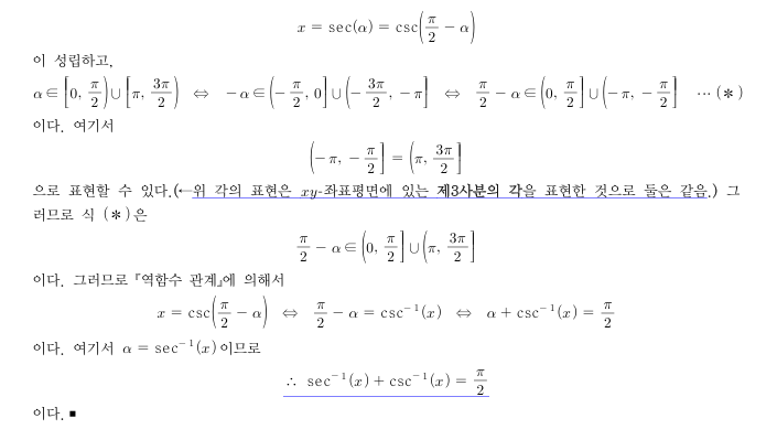
sec임벌스x +csc임벌스x=pi/2
sec임벌스x=a
x=sec(a), 0<=a<pi/2 ,pi<=a<(3pi)/2
=csc(pi/2 -a), 0<pi/2 -a<=pi/2 , -pi<pi/2 -a<=-pi/2
로 뒤에 범위가 이상하게 나오는데 어떻게 해야하는지 모르겠습니다.
※ 답변 완료된 질문과 답변은 수정 및 삭제가 불가합니다.

